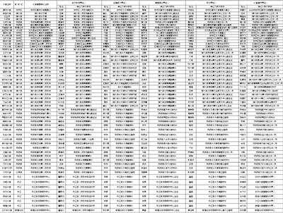
根据《中华人民共和国防洪法》、《中华人民共和国抗旱条例》和国家防总关于《各级地方人民政府行政首长防汛抗旱工作职责》的规定,结合我市实际情况,为全面做好2021年防汛抗旱工作,确保安全度汛,现将县级防汛抗旱责任人、主要江河、重点水库水电站、重点防洪城镇、重点山洪灾害危险区防汛责任人予以公示。
各级防汛抗旱责任人要切实履行防汛抗旱职责,及时上岗到位,切实履职尽责,督促落实各项防汛措施,确保人民群众生命财产安全。同时,各地要结合实际,逐级逐部门落实防汛抗旱责任人,并向社会公布,接受社会监督。
乐山市防汛抗旱指挥部
2021年4月29日







